做了这么多颈椎手术,你真的确定疗效怎么样么?——颈椎退行性疾患治疗结果的评估
2017-07-04 文章来源:北京大学第三医院骨科 周非非 我要说
随着现代社会生活方式的变化,颈椎退行性疾病已经成为影响生活质量的重要疾病之一。手术治疗作为退变性颈脊髓病重要的治疗方式之一已经在我国得到广泛开展。但是,在我们关注颈椎外科手术技术发展的同时,我们真的了解这些患者术后的疗效么?
颈椎退行性疾病手术治疗的目的包括去除脊髓或神经根压迫,重建颈椎序列及稳定性。因此,长期以来,脊柱疾患的疗效评价一直针对上述治疗目的采用不同的方法来实现。例如目前临床上常用的基于影像学的颈椎生理曲度、活动度、节段稳定性、植骨融合、减压效果等物理及解剖学参数,以及评价神经功能的日本骨科协会JOA17分法等。以上这些评估资料长时间被认为是“硬资料”(hard data),应该客观地反映了脊柱疾患的治疗效果。但是,随着对这些“硬资料”临床实际价值研究的不断深入,发现其与患者对治疗结果主观感受的相关性并不高。
这是为什么呢?
随着脊柱疾患治疗水平的不断提高,无论何种术式,在去除致病因素方面都取得了令人满意的效果。但是,在临床实际工作当中,有很多病人术后使用常用的生理、解剖学以及脊髓功能评价都得到非常理想的结果,如术后平片提示骨性压迫解除彻底、曲度恢复正常,MRI显示脊髓充分减压,但是随访时患者仍然对术后的生活质量不满意,即症状缓解程度与患者治疗后获得的功能状态不一致。
这到底是为什们呢?
症状是患者对“异常的躯体、情绪或认知状态”的主观体验;而功能状态是指个体能满足基本日常生存需要,履行各种社会关系及家庭角色和义务,保持幸福和健康的心情与体魄等一系列日常生活的能力。其包括了以下两方面内容:功能能力(functional capacity)和功能表现(functional performance)。功能能力表示一个人在躯体、生理、社会和精神方面完成日常活动的最大能力;而功能表现是指人们在日常生存中实际完成的活动,可通过极限运动试验来检测个体功能能力的大小,通过日常生活的自评来反映功能表现的好坏。
所以,现在越来越多的脊柱外科医师意识到,患者治疗脊柱疾患的目的不再仅仅是去除病痛和改善功能障碍,也要求心理上的舒适和健全,能够更好地恢复健康生活的状态和能力。因此,以生活质量评估为代表的“患者主观性评估”,在脊柱疾患疗效评估体系中的位置越来越重要。
生存质量评价来自于患者对治疗后各种体验的主观描述,受个体表达能力、心理因素、社会因素等多方面的影响, 它的客观性、重要性、有效性常常受到质疑,相对于前文中的“硬资料”,被称为“软资料”(soft data)。随着研究的不断深入,“软资料”评定脊柱疾患治疗效果的可重复性、有效性或精确性, 以及指标内容、评价方法与技术的实用性都作了很多与“硬资料”的对比研究,均得到了肯定的结论并已广泛地在临床中开始应用。
新时代我们需要什么样的疗效评价手段?
随着健康观的变化,医学模式的转变,使人们治疗脊柱疾患的目的不再仅仅是去除病痛,而是要能够完全恢复健康生活的状态和能力。正是在这种观念下,在手术治疗领域产生很多新方法或者对原有的手术方式进行了改进,如非融合技术、微创技术、还有为减少术后轴性症状而对传统颈后路手术术式的改进等等。
这种突出以患者为治疗过程的核心、更加全面地评价术后患者的生活状态和社会适应能力的观点,既是这些新技术、新方法应用或研究的出发点,也应作为衡量其结果的归宿。
遗憾的是,我国在新技术、新方法的疗效评价领域的认识较之国际上仍较为滞后。
笔者对比分析了国内和国际学术界关于颈椎病非融合手术治疗结果评价方法选择上的异同:检索国内外脊柱外科领域具有重要影响力的专业期刊(国内为:《中国脊柱脊髓杂志》、《中华骨科杂志》、《中华外科杂志》、《脊柱外科杂志》、《颈腰痛杂志》、《临床骨科杂志》;国外为:《Spine》、《Euro-Spine》、《Neurosurgery》、《Journal of Bone and Joint Surgery》)2003年至2007年6月关于“颈椎人工椎间盘置换”的相关文献。
结果显示,9篇国内非融合技术的研究没有1篇采用了反映患者主观感受的评价方法,仍然以神经功能和颈椎生理功能评价为主(图1);而国外18篇研究则选择了包括症状、神经功能、颈椎生理功能及患者健康相关生活质量评价在内的综合评价体系(图2)。
由此可见,我国在全面评价脊柱疾患疗效的观念方面与国外仍有较大的差距,而包括生存质量评价在内的综合评价体系应是我国脊柱疾患治疗效果评价的发展方向。

图1 国内颈椎病外科治疗疗效评价方法选择

图2 国外颈椎病外科治疗疗效评价方法选择
你了解你的颈椎病患者术前有什么程度的功能障碍么?
笔者对主、客观评价在中国脊髓型颈椎病患者手术治疗上应用进行了系列研究。分析了142例接受手术治疗的脊髓型脊髓型颈椎病患者术前及术后3个月、1年和2年以上随访时的主客观功能评价。
客观评价为体现患者神经功能的改良JOA评分(mJOA),分为上肢、下肢、躯干感觉,上肢、下肢运动和括约肌功能五个部分;主观评价为生活质量SF-36量表,共有8个维度。
术前在mJOA的评测中,上肢感觉、下肢运动、下肢感觉和手指运动的发生功能障碍的比率最高(表1),这与Masaaki Machino在2012年于Spine杂志上的报道相结果基本一致。在SF-36的各个维度上,患者均较正常人群有着不同程度的下降,其中尤以生理职能(RP)、社会功能(SF)、情感职能(RE)三个维度更为突出。可见脊髓型颈椎病患者术前不仅存在神经功能障碍,心理、社会功能也有不同程度的影响。
表1. mJOA中各项功能障碍的发生比率

你知道颈椎病患者术后恢复的规律么?
术后mJOA各项评分均有不同程度的改善,除外膀胱功能一项,其余各项具有显著改善,mJOA分数在术后16.4个月达到峰值。当以感觉、运动和膀胱功能分类进行二元Logistic回归分析结果显示,术后三个月、术后一年,以及末次随访时康复均以感觉为主。另外感觉达到最大值的时间为11.6个月,而运动功能达到最大值的时间为17.6个月,从中我们可以总结出中国脊髓型颈椎病患者术后感觉功能恢复较运用功能更早并以感觉功能恢复为主。
SF-36术后随访结果显示:术后三个月时,患者的主观评价改善与神经功能的改善并不同步,原因可能为术后三个月时,患者虽然神经功能有所改善,感觉和运动功能较前有所患者,但是由于术后伤口疼痛,术后伤口对于活动的限制等原因造成患者的四个心理维度评分均较术前无缓解,随着伤口的愈合,患者参与社会活动的能力和强度的增加,患者在中长期随访中生理功能、生理职能、社会功能和情感职能四项均较术前有显著改善,而这四个方面的改善也许正是患者在术前所期待的。
此外,我们还分析了主、客观评价间的相关性。发现术后三个月时,客观评价的改善主要与主观评价SF-36量表中躯体功能维度的相关性高,患者对于自己生理功能,如上下楼梯,自己洗澡穿衣,完成正常工作等随着神经功能的改善而好转。随着恢复期的延长,在术后一年时,与mJOA评分的改善相关的SF-36量表则兼具了躯体功能和心理功能的维度。在末次随访时,mJOA评分则与心理功能维度更加相关,说明神经功能的改善在经历较长时间后,最终会使患者的心理功能得以改善(表2)。
表2. mJOA改善与SF-36各项的相关性

术后症状改善到什么程度才叫“有效”?
目前关于临床疗效和生活质量疗效问卷已逐渐取代发病率、死亡率等指标,在临床工作中得到越来越广泛的应用。原来关于患者术后疗效的研究多采用术前与术后的对比,如配对T检验,Mann-whitney U检验等方式来验证术前术后患者评分来区分手术是否有效,但是患者间存在差异,不能一概而论。各类量表可以评价患者的疼痛,功能障碍,和总体健康情况,但是各项评分的具体分值欠缺实际的临床意义,难以真正的指导、或评价临床工作。由于患者与患者间实际情况不尽相同,即使在相同的分数下,患者自身的体验也不尽相同,难以通过具体分数来判断治疗是否有效。
最小临床有效值(MCID. minimum clinicallyimportant difference)就是在这样的背景下出现的一个新概念。MCID的概念已经被应用于确定各种疾病的临床有效的评分阈值,MCID之前已经被应用于评价手术患者,但是关于颈椎手术疗效的应用还比较少见,所以我们研究了MCID应用于CSM患者中手术后疗效的价值。
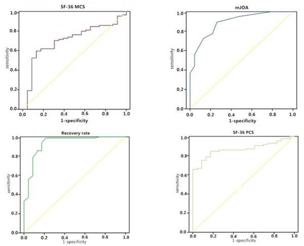
笔者收集了113名脊髓型颈椎病患者术前及术后一年随访的mJOA评分及SF-36评分,计算mJOA分数变化、mJOA改善率、PCS和MCS的SEM(standard error of measurement),MDC ( standard error of measurement),Mean Change,并通过ROC(receiver operating characteristic)曲线分析,来量化患者的个人偏倚。
结果显示,在本次关于CSM患者术后MCID的研究中,MCID的阈值确定很大程度上取决于方法的选择,MDC方法是计算MCID最贴近临床且最具统计学意义的方法,在该方法的计算下,PCS、MCS、mJOA变化值和mJOA改善率的MCID分别为5.16,3.43,2.08和31.37%,另外,在四个指标中,mJOA改善率是最有效、敏感的指标(图3)。

图3. PCS、MCS、mJOA变化值和mJOA改善率的ROC曲线
参考文献:
[1]White AA,Panjabi MM.Update on the evaluation of instability of the lower cervical spine.Instr Course Lect,1987,36:513-520.
[2]Bohlman HH, Anderson PA. Anterior decompression and arthrodesis of the cervical spine: long-term motor improvement. Part I--Improvement in incomplete traumatic quadriparesis .J Bone Joint Surg(Am),1992,74:671-682.
[3]Deyo RA. Measuring the functional status of patients with low back pain. Arch Phys Med Rehabil,1988,69:1044-1053.
[4]Geneva. The WHO quality of life assessment instrument[M]. WHO,1993.
[5]King JT, McGinnis KA, Roberts MS. Quality of life assessment with the medical outcomes study short form-36 among patients with cervical spondylotic myelopathy.Neurosurgery,2003,52:113-121.
[6]Singh A, Casey A, Crockard A. Quality of Life Assessment using the Short Form-12(SF-12) Questionnaire in patients with cervical spondylotic myelopathy comparison with SF-36.Spine,2006,31:639–643.
[7]Japanese Orthopaedic Assocoation score for cervical spondylotic myelopathy. J Jap Orthop Assoc,1975,99:prefatory note(in Japanese).
[8]Revised JOA scores for CSM. J Jap Orthop Assoc,1994,68:490-503(in Japanese).
[9]王立舜,党耕町,刘忠军,等.关于颈脊髓损害功能评定标准的讨论.中国脊柱脊髓杂志,1991,2:52-54.
[10]Herdmann J, Linzbach M, Krzan M,et al. The European Myelopathy Score. Advances in neurosurgery[M]. Berlin Heidelberg,Springer, 266–268.
[11]Toyone T, Takahashi K, Kitahara H, et al. Visualization of symptomatic nerve roots. Prospective study contrast-enhanced MRI in patients with lumbar disc herniation. J Bone Joint Surg (Br),1993,75:529-533.
[12]Huskission EC. Measurement of pain.Lancet,1974,7889:1127–1131.
[13]Melzack R. The McGill Pain Questionnaire: major properties and scoring methods. Pain,1975,1(3):277–299.
[14]Melzack R. The short-form McGill Pain Questionnaire. Pain,1987,30(2):191–197.
[15]Firbank J, Pynsent P. The Oewestry disability index. Spine,2000,25:2940-2953.
[16]Roland M, Morris R. A study of the natural history of back pain. Part 1: development of a reliable and sensitive measure of disability in low back pain. Spine,1983,8:141-144.
[17]Vernon H, Mior S. The Neck Disability Index: a study of reliability and validity [published erratum appears in J Manipulative Physiol Ther 1992;15 following Table of Contents]. J Manipulative Physiol Ther,1991,14:409 –415.
[18]秦茂春,王少波,蔡钦林等.脊髓型颈椎病患者的性功能改变. 中国矫形外科杂志,2002,9(3):225-227.
[19]Ware JE,Kosinski M,Dewey JE.How to score version two of the SF-36 health survey[M].Lincoln,RI.QualityMetrie,2000.
[20]EuroQol Group:EuroQol: A new facility for the measurement of health-related quality of life. Health Policy,1990,16:199-208.
[21]Patrick DL,Deyo RA,Atlas SJ,et al.Assessing health related quality of life in patients with sciatica.Spine,1995,20:1899-1909.
[22]Patrick DL,Deyo RA,Atlas SJ,et al.Assessing health related quality of life in patients with sciatica.Spine,1995,20:1899-1909.
[23]Asher M, Min Lai S, Burton D, et al. The reliability and concurrent validity of the scoliosis research society-22 patient questionnaire for idiopathic scoliosis.Spine,2003,28(1):63-69.
[24] 张一龙,周非非,孙宇,刘忠军,党耕町。脊髓型颈椎病手术治疗后的近中期JOA评分变化规律。中国脊柱脊髓杂志,2015,25(1):13-17.
[25] Zhou F,Zhang Y,Sun Y,Zhang F,Pan S,Liu Z. Assessment of the minimum clinically important difference in neurological function and quality of life after surgery in cervical spondylotic myelopathy patients: a prospective cohort study. European Spine Journal,2015,24(12):2918-2923.



 京公网安备11010502051256号