鉴古通今,以史为镜——浅谈椎间融合器发展史
2017-06-30 文章来源:首都医科大学附属北京朝阳医院 张耀申 海涌 我要说
随着信息时代的到来,人们生活、工作方式发生了比较大的变化,越来越多的人去需要伏案工作、久坐不起,加之社会老年化程度加重;相关流行病学调查提示:58-84%的成年工作者均受到不同程度的脊柱疾患的困扰。脊柱相关疾患,如颈椎病、腰椎间盘突出、腰椎管狭窄、腰椎滑脱和脊柱侧弯等疾病,已经成为影响广大群众,尤其是中老年朋友生活质量的常见病和多发病。脊柱疾患是时下社会共同关注的热门话题。
历史是一个民族、一个国家形成、发展及其盛衰兴亡的真实记录,是前人各种知识、经验和智慧的总汇。古人云:“夫以铜为镜,可以正衣冠;以古为镜,可以知兴替;以人为镜,可以明得失”。本文通过浅谈脊柱相关疾患及脊柱椎间融合器的发展史,希望能让读者能能从历史中挖掘智慧的宝藏,从前人那里汲取教训和经验,更好地把握现在、开创未来。

自从人类进化成直立行走以来,开阔了人类的视野,但是脊柱成为了人类的桅杆,支撑着整个身体的重量;脊柱疾患也不可避免的发生了。
历史漫长的发展过程中,对腰腿痛的认识有个反复的过程。在公元前时代,人们对于脊柱疾患归咎于鬼怪作祟。出现腰背疼痛时候,人们往往正在劳动或者正在弯腰搬重物,所以人们认为是鬼怪在背后踢了一脚或者精灵在远处射了一支箭。

作为人类最古老的书籍之一,圣经对于脊柱疾患也有自己的解释,在创世篇三十二章中记载以色列人的祖先Jocob与上帝进行了一次摔跤比赛。比赛从晚上一直持续到凌晨,Jocob拒绝停止比赛除非上帝对他进行祝福,于是上帝触碰了Jocob的坐骨神经,从此以后人类的坐骨神经不再受上帝的保护,脊柱疾患也随之而来了。
另一本古老的书籍古巴比伦的《塔木德》记载了在动物尸体内解剖出来的坐骨神经,将之命名为“schigroma”。书籍中还记载了治疗腰背痛的方法,就是用新鲜的盐水冲洗痛处60次。

现代医学之父希波克拉底对脊柱疾患的认识也做出了巨大贡献,他首先发现了脊柱疾患与下肢放射痛的关系,并且描述了脊柱疾患的典型症状,比如:下肢放射痛、间歇性跛行、强迫体位等等。在脊柱疾患的治疗方面,希波克拉底发明了很多沿用至今的保守治疗方式,比如:卧床静养、按摩、热敷治疗、牵引治疗等。

公元二世纪,另一位现代医学的奠基人Claudius Galen对脊柱解剖及畸形疾病做出了重要的贡献。Galen用希腊语命名了多种脊柱疾患,这些名称也沿用至今,比如:Scoliosis, Kyphosis, Lordosis。Galen注意到脊柱疾患,对患者心肺功能存在损害。心肺功能不全是脊柱侧弯患者死亡的主要因素。粘合剂制成的胸部支具,通过大声朗诵或者歌唱圣经以提高患者心肺功能等治疗手段。Galen对骨科的其他贡献还包括绘制了详尽的人体解剖图,他的解剖图谱直到接近1000年后才被取代。


尽管前面两位学者在早期对脊柱做出了巨大的贡献,在进入了宗教统治的中世纪,黑暗时代,脊柱外科的发展接近停滞状态。统治者实行政教合一,学者也无法将科学与神学分开,认为脊柱疾患是一种天谴,治疗方法类似牵引床。
中世纪后,现代医学进入了快速发展期。1741年,Francois LeVacher发明了可以动态佩戴支具,取代了以往的静态牵引床。1839年, Jules Guerin首次试图通过手术治疗脊柱疾患。他的手术方式经皮切成椎旁肌肉+佩戴动态支具。报道了在1349名患者中、获得了比较好的手术手术效果,但是手术感染率极高。此教授晚年被法国当局禁止行医。
1864年Lasegue为鉴别髋部疾病与坐骨神经痛,设计了多种物理检查方法,其中最著名的是Lasègue氏征,即直腿抬高试验。1880年,Lewis Sayre改善了医院及手术室的消毒条件而得名,他对骨科也有很多贡献,比如发明了石膏托、石膏支具等。1885年, Wilhelm Roentgen发现了X射线并因此获得了诺贝尔奖。X射线的应用使人们加速了人类对自身骨骼结构的认知。

到了上个世纪初期,脊柱疾患治疗方式进入了手术时代。1908年,德国骨科医生Fedor Krause在著名神经内科医生Hermann Oppenheim的建议下,对一名腰椎间突出症进行了第一例髓核摘除术。Oppenheim报道该患者术后腰背痛的症状得到了明显缓解,但是手术取出的椎间盘组织被病理医师错误认定为“椎管内内生软骨瘤”。
直到1932年,神经外科医生Mixter 和骨科医生Barr共同报道了一例腰椎间盘突出症的患者,并提出了患者下肢放射痛的症状是髓核突出而引起的,该结论与Oppenheim相悖,他们怀疑既往那些“椎管内内生软骨瘤”的诊断是否都犯了错误。他们的观点在随后的一段时间里引起很大争议,并遭到一些权威专家的抵制。直到一年后,他们的观点才得到主流学术界的认可,撰写的《累及椎管的椎间盘破裂”》一文于1934年8月发表在《新英格兰医学杂志》。

椎间融合器的发展史
结核病在是一种古老的疾病,考古学家从新石器时代人类的骨化石和埃及4500年前的木乃伊上,就发现了脊柱结核。结核病是医学史上患病率及死亡率最高的疾病之一。脊柱是结核病好发的部位,脊柱结核又称作 Pott 病,是一种继发性病变,约 90% 继发于肺结核。在二十世纪初,由于缺乏特效药,结核病在世界范围内肆虐;当时,结核病是西方国家主要致死的疾病。
1911年,在纽约骨科医院(NYOP)Dr. Russell A. Hibbs 报道了在一名9岁的男童上实施了脊柱融合术,已治疗患者严重的结核性后凸畸形。该手术过程在局麻下进行,融合范围自T12-L3,融合方式为棘突融合,手术顺利,没有出现并发症。患者术后卧床一月,术后三月佩戴石膏支具,直到影像学证实,脊柱已经融合。


脊柱融合术由开始的棘突间融合、后外侧横突间融合转变为椎体间融合。脊柱融合术的适应症也发生改变,目前,脊柱融合术已经成为有效的治疗脊柱退行性疾病及脊柱畸形有效的治疗手段。

一、金属融合器
早期脊柱融合技术包括骨膜下剥离肌肉组织,及自体骨植入,不植入内固定物。这导致患者并发症发生率较高,术后并发症多、假关节形成、术后康复时间长。
1988年,英国骨科医生Bagby发明了椎间不锈钢金属笼装置,报道了在椎间隙植入多孔、中空、不锈钢金属笼装置,治疗马的脊髓型颈椎病。直到1996年,Food and Drug Administration(FDA)通过了椎间内植物在人体身上应用。
1990年代中后期,BAK™融合器由赵定麟教授和赵杰教授引入中国临床,也将椎间融合器这个理念带到了中国。

应用金属椎间融合器具有术中出血少、手术时间短、术后康复快,没有髂部疼痛、融合率高等优点。随后的临床试验表明,与自体骨植入相比,cage可以恢复追间隙高度、提高椎间融合率。
一篇经FDA授权的临床RCT研究中,作者将患者随机分为BMP/抗压材料cage组和自体髂骨植入组,两组均接受了PLIF手术。对比两组结果作者得出结论,cage组手术时间、术中出血量少于自体髂骨植入组。两者术后ODI、SF-36评分并没有统计学差异,而自体髂骨植入组术后有平均8w的髂骨疼痛。此外,自体骨组的融合率为73.3%而cage组的融合率为90.6%,两者存在统计学差异。


相对于自体骨植入,钛合金材料融合器可以获得较好的融合率。钛合金密度低、耐腐蚀、才外还可改变金属融合器表面涂层以提高融合率。到那时金属材质融合器有其固有的缺陷:由于金属材料与人体骨的弹性模量相差太大,术后如果椎间骨性融合未能实现,会出现融合器疲劳、断裂的危险。更为常见的是金属融合器陷入上下椎体的骨质内,导致椎间高度丢失、生理曲度丧失。

椎间融合器沉降的分度
后路椎间融合术可以有效的解除神经压迫,术后椎间融合器下沉会影响减压的效果,但是下沉率与临床效果的具体关系尚不明确。一篇文章研究了不同宽度Cage对椎间融合器下沉率进行了对比,分别将患者分为18mmcage组和22mmcage组;图表中可以发现,宽直径的cage可以减少下沉率,并且能消除高度的cage下沉,cage下沉主要发生在术后6w之内,而且融合器下沉可能随着时间进展。此外,cage下沉的程度与术后6w的VAS相关,但是与术后1Y的融合率并没统计学关联。



二、PEEK材料融合器
骨科领域最为经典的几类金属材料用来制造融合器,在应力遮挡、X线透光方面都比较糟糕,尤其是金属融合器的报道下沉率高达16%~60%。试于是人们开始从聚合材料上寻找解决途径。
1993年美国某家公司推出了新型融合器—个采用碳纤维加强的聚芳醚酮酮(CFR-PEKEKK,以下简称CFRP)材料制造的腰椎融合器,并获得了令人惊喜的疗效;脊柱外科逐渐进入了PEEK时代。
2007年,美国FDA终于不堪忍受数以百计的脊柱融合器上市申请,将脊柱椎间融合器定义为II类器械,自此,绝大多数公司的PEEK融合器获准上市,这真是“忽如一夜春风来,千树万树梨花开”。

美国某公司第一代黑PEEK融合器


PEEK分子式
PEEK材料,英文名称为polyetheretherketone(简称PEEK),中文名称为聚醚醚酮树脂,它是分子主链中含有链节的线性芳香族高分子化合物。PEEK材料这种新型有机高分子化合物开始出现在脊柱外科产品市场。
随着相关产品的使用越来越广泛,临床医生发现,由于PEEK材料本身的成骨效能极低,以及融合器设计的植骨空间有限,导致骨性终板很难与PEEK融合器表面形成骨长入。患者术后会出现融合器即刻稳定性差、位置丢失以及最终的不融合,导致手术失败。
随后的研究也发现PEEK材料的融合率确实略低于金属cage,是否存在统计学差异存在争论。但是与金属融合器相比,PEEK融合器的下沉率确实显著减少了。



为了改善PEEK材料骨长入不良的问题,人们开始对于PEEK融合器表面进行改性。市场上主要有两大类:一类是表的PEEK和羟基磷灰石的复合物,由于HA(羟基磷灰石)拥有很好的骨沉积性能;另一类则是在PEEK材料表面进行钛喷涂技术来实现改性。不论是HA强化型PEEK融合器、还是钛涂层的PEEK融合器都是目前国际上渐成主流的产品,而在二者中,似乎钛涂层PEEK融合器更受人青睐,有好的植骨融合表现。
2016年2月最新一期The Spine Journal杂志上发表了一篇关于Titan Spine公司表面涂层技术的文章,在这篇文章中,作者选取Titan公司的钛合金融合器和钛涂层的PEEK融合器作为研究对象,通过模拟椎间隙环境,分别将二者敲击植入并进行观察。钛合金融合器在敲击植入过程中并未出现碎屑、磨损;而钛涂层的PEEK融合器表面大部分涂层在敲入的过程中已经被磨损掉了。


三、重回自体骨融合时代?
自体骨具有最理想的成骨能力,而获取大块的髂骨则会引起术后髂部不适、延长手术时间术后康复时间等问题,利用TLIF术中减压获取的关节突骨块是否能提高手术效果呢?
一篇研究认为,在使用cage与单纯利用颗粒化骨块植骨不使用在术后椎间隙高度回复、融合率上并没有显著差异,而不使用cage手术时间短且住院费用会明显减少。既往文献报答自体骨融合率低于cage组,作者认为原因是植入大块的髂骨,大块的自体皮质骨相对碎化的减压骨而言,弹性模量较大,在进行去终板去皮质操作后,非常容易出现终板塌陷,引起较高的不融合率。


另一篇文章也得到了类似的结论,该文章研究了peek材料和自体骨对比的临床疗效。作者回顾性研究了接受了PLIF手术的患者,排除了内固定松动或者断裂的患者。得出结论:在追弓根螺钉的内固定的支持下,peekc cage和自体骨在患者术后症状改善、功能评分,椎间隙高度和融合率并没有显著的差异。


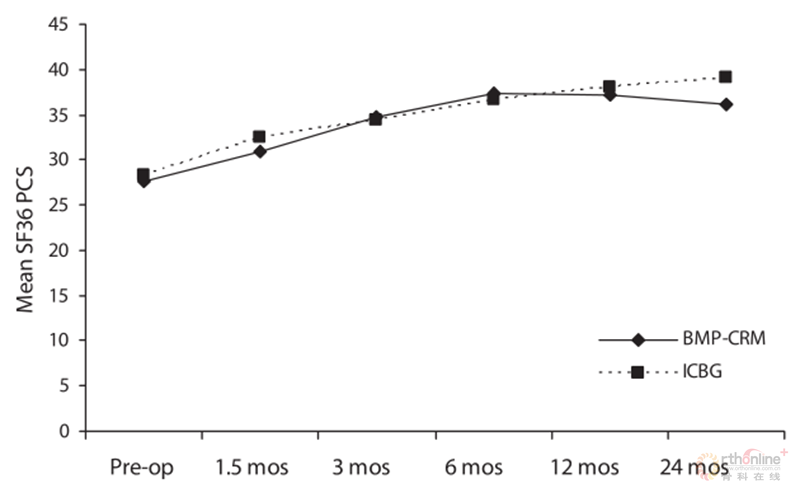
四、重组人骨形态发生蛋白(rhBMP-2)
rhBMP-2即重组人骨形态发生蛋白。骨形态发生蛋白是TGF-β超家族的成员之一,最初因其能诱导骨和软骨的形成而得名,对骨骼的胚胎发育和再生修复其重要作用。椎间植入重组人骨形态发生蛋白能否提高融合率一直存在争议。
FDA在2002年批准了ALIF手术中植入rhBMP,至今仍未审批在PLIF TLIF术中植入BMP。近年来,发现在ALIF术中应用bmp可能引起多种术后并发症。包括骨溶解,内植物下沉,逆行性射精即其他一系列的尿路并发症。该项研究的作者得出结论,尽管许多研究结果没有显示出使用rhBMP-2对融合率有着显著改善,但对于ALIF而言骨融合率有所改善。

五、可撑开椎间融合器
普通融合器的外形已经固定、椎间撑开效果有限(尤其是在那些存有前纵韧带钙化的病人身上)。于是有人设想,是否可以设计一种带有椎间撑开能力、且程度可控的融合器呢?
以撑开目的而设计的机械装置应运而生,例如下图中的这种膨胀撑开式融合器,Vari-lift可撑开Cage克服了传统cage的足之处,自带可撑开作用,且该Cage是一种standalone融合器,不需后方椎弓根内固定或者前方钢板固定,这节省了手术时间、术中出血量,也减少了患者的经济花费。


随后的研究报道了可撑开PEEK融合器的临床效果。文章随访了47名接受了可撑开peek融合器的患者,随访时间为9m。在下面的图表中可以看到,可撑开peek融合器可以有效的恢复追间隙高度、椎间孔高度、及滑脱复位,但是在9个月的随访中CT证实可撑开融合器的融合率仅为62.5%,尽管大部分患者都有比较好的临床疗效,3人因为不融合接受了2次手术,1人因为ASD接受了再次手术。
作者认为,可撑开peek融合器最大的优点在于打入融合器的过程中不需要牵拉硬膜及神经根,显著降低了书中硬膜撕裂及神经损伤的概率,此外,可撑开peek融合器在9m的随访中没有出现融合器下沉,最明显的一例下沉的距离约为66mm。


可撑开椎间融合器越来越热门,但是可撑开Cage可能出现融合器下沉,过度撑开甚至可能出现椎体骨折损伤前方大血管引起灾难性后果。一篇文章研究了肯撑开CAGE于传统cage的生物力学。本文在尸体标本上观察植入不同类型的cage后即刻出现内固定物下沉及椎体骨折的的情况。
在下面的图表可见,在适度撑开的情况下,可撑开cage发生骨折的概率与传统cage相近,而过度撑开时,所有的节段都出现了骨折。此外,可撑开cage出现内固定物下沉的情况明显多于传统cage。


人们进一步发明了水平面(M-L)撑开的椎间融合。Luna 3D使用了PEEK和镍钛诺材料并实现精确引导和控制,能够提供前柱稳定性、高强度性和最小程度的神经收缩。在椎间完全展开成环后,Luna 3D将自主撑开椎间高度,形成一个直径24mm,高13mm的圆柱体融合器。然后通过融合器植骨窗口填充骨移植物,达到优化融合目的。


一篇生物力学研究在6具尸体标本上分别分析了不同种类型的cage及内固定方式,包括后路传统cage(肾形)+单边内固定、后路传统cage+双边内固定、后路M-L型cage+单边边内固定、后路M-L型cage+双边边内固定、后路C-C型cage+单边边内固定、后路C-C型cage+双边边内固定、ALIF+前路钢板固定、Alif+后路椎弓根钉固定。
该研究方法保留了L1-骶骨的全部椎体,对L4-5节段进行手术干预后,测量在L4-5阶段的在过伸过屈、侧方bending像、及轴向旋转的活动度和稳定度。文章得出结论:后路M-L型cage+单边内固定 与 后路传统cage+双边内固定生物力学稳定性是相当的。可能是因为M-L型融合器较大的底座面积提高了融合器稳定性。





京公网安备11010502051256号