运用透视-匹配技术研究跗骨关节的体内运动
2017-06-07 文章来源:复旦大学附属华山医院骨科 作者:曹圣轩 王晨 马昕 王旭(骨科在线足踝专业副主编) 黄加张 张超 陈立 我要说
跗骨关节由距下关节、距舟关节、跟骰关节和舟骰关节四关节组成。跗骨关节在体内的运动十分复杂,且与平足和高弓足的发病密切关联。而跗骨关节的运动学特征,尤其是在体内运动学特征至今仍未探明。有学者运用尸足步态模拟来探究跗骨关节运动,但这无法再现跗骨关节的体内运动。也有学者运用体表标记来探究跗骨关节运动,但体表标记与皮肤的相对位移大大降低了研究的准确性。侵入性研究方式是通过植入骨内标记运用影像学探究跗骨关节运动,但这种研究方式给受试者带来了不适,同时也影响了正常步态。近年来兴起的透视-配准技术是一种通过二维透视图像与三维模型匹配来计算骨块空间位置的技术,已被数位学者运用于肩、膝、踝关节的体内运动研究。这项技术精确度好,但无人将其运用于跗骨关节体内运动的探究。我们的目标即是运用这项技术探究跗骨关节在正常步态周期内三维六自由度的运动。
首先采集7位健康志愿者共14只足的足部薄层CT图像,运用Amira软件建立距骨、跟骨、舟骨和骰骨的三维模型。建立三维模型的同时,为了方便三维六自由度运动的描述,我们对足中立位的每一块跗骨都采用Okita N等人描述的方法建立了世界坐标系。每一骨块的坐标系中心都位于距骨的几何中心,这样,骨块之间的相对运动就可以运用骨块之间坐标系的相对移动计算出来。
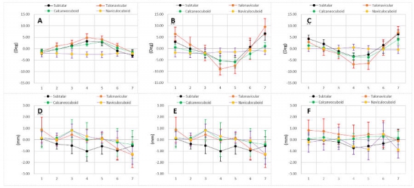
单平面透视系统由一台C臂机和高度可调的工作台所组成。首先通过放置于C臂机接收器处的特制校准仪拍摄校准图像。之后,受试者在工作台上连续慢速步行,C臂机水平放置,以30Hz的频率采集受试者跗骨的侧位片。一台照相机以3000Hz的频率拍摄下了实验场景,如图一所示。从受试者连续的步态周期中,结合照相机图像,挑选出七帧关键步态,校准后与之前建立的骨骼三维模型一同导入匹配软件。匹配软件重现了三维实验环境,并运用半自动的边缘检测算法完成步态透视图像与骨骼三维模型的匹配。透视-匹配过程完成后,关节的体内运动通过前述坐标系的相对移动计算出来。距下关节、距舟关节、跟骰关节和舟骰关节在七帧关键步态中的三维六自由度体内运动数据如图二所示:趾屈/背伸(图二A),内翻/外翻(图二B),内旋/外旋(图二C),内/外位移(图二D),前/后位移(图二E),上/下位移(图二F)。
值得一提的是,传统步态周期理论认为,在步态周期的后段,由于距下关节的内翻,距舟关节和跟骰关节被锁定,旋转活动停止,有利于推动身体前行,这被称为“中足锁定学说”。而我们测定的跗骨关节在体内运动数据提示:步态周期中,距舟关节有最大的旋转活动。并且,未在步态周期中发现距舟关节和跟骰关节有旋转运动的停止,这对传统步态周期中的“中足锁定学说”提出了质疑。
我们还进行了一项实验来验证透视-匹配技术的精确度。这项实验使用一只尸足标本,向跗骨植入钛珠作为骨内标记,采集CT图像建立包含骨内标记和不含骨内标记的两种骨块三维模型。透视下人为使尸足标本完成背伸趾屈等动作,不含骨内标记的骨块三维模型用于透视-匹配技术计算跗骨关节运动。同时,骨内标记在透视图像上的运动可以用于RSA技术计算跗骨关节运动,这项技术被认为是检测关节运动的金标准。对比透视-匹配技术和RSA技术,在矢状面内关节位移最大误差为(均值±标准差):-0.33±0.4mm,旋转最大误差为(均值±标准差):-1.00±3.26°。这提示了透视-匹配技术的高精确度。实验完成后再次运用CT图像建立包含骨内标记的骨块,与实验前建立的包含骨内标记的骨块模型对比,发现实验前后钛珠位置差值为(均值±标准差):0.018±0.023mm,这提示骨内标记(钛珠)在实验前后没有位移。
通过我们的这项研究,不仅提示了透视-匹配技术的高精确度,还利用这项技术测定了步态周期中跗骨关节在体内的运动,为临床实践提供了有用的证据。





京公网安备11010502051256号